🌅 Informe Matutino de Mercados – 11 de septiembre de 2025
Resumen clave: Los mercados globales abren con un tono cautelosamente optimista. Las bolsas asiáticas lideran las ganancias, los índices europeos están mixtos y las acciones estadounidenses muestran resiliencia. Las materias primas se mantienen estables en general, con la agricultura superando al resto. El EUR/USD cotiza en 1,1695, estable antes de la decisión del BCE y los datos de inflación de EE. UU. Se espera volatilidad a medida que los operadores esperan señales cruciales de los bancos centrales.
📈 Índices Bursátiles Globales – Últimos Precios y Movimientos Diarios
Índice
Precio
Variación Diaria (%)
Región
S&P 500
6.532,04
+0,30%
EE. UU.
Dow Jones
45.490,92
-0,48%
EE. UU.
NASDAQ 100
23.849,27
+0,04%
EE. UU.
DAX (Alemania)
23.574,18
-0,25%
Europa
FTSE 100 (Reino Unido)
9.268,40
+0,47%
Europa
CAC 40 (Francia)
7.775,41
+0,18%
Europa
IBEX 35 (España)
15.217,50
+1,29%
Europa
Nikkei 225 (Japón)
44.372,50
+1,22%
Asia
Hang Seng (Hong Kong)
26.200,26
+1,01%
Asia
KOSPI (Corea del Sur)
3.314,53
+1,67%
Asia
Shanghai Comp. (China)
3.812,22
+0,13%
Asia
SENSEX (India)
81.425,15
+0,40%
Asia
Destacado: Los mercados asiáticos son los de mejor rendimiento, con el KOSPI de Corea del Sur (+1,67%) y el Nikkei de Japón (+1,22%) a la cabeza. El IBEX 35 de España (+1,29%) destaca en Europa, mientras que el Dow Jones se rezaga en EE. UU.
💱 Forex – Principales Pares de Divisas (Tiempo Real)
Par
Cotización
Tendencia
EUR/USD
1,1695
Estable
USD/JPY
147,44
Estable
GBP/USD
1,3500
Estable
AUD/USD
0,6600
Estable
USD/CAD
1,3800
Estable
USD/CHF
0,8000
Estable
NZD/USD
0,5900
Estable
Análisis: El EUR/USD se mantiene estable antes de la decisión de tipos del BCE y la publicación del IPC de EE. UU., con la mayoría de los principales pares cotizando en rangos estrechos.
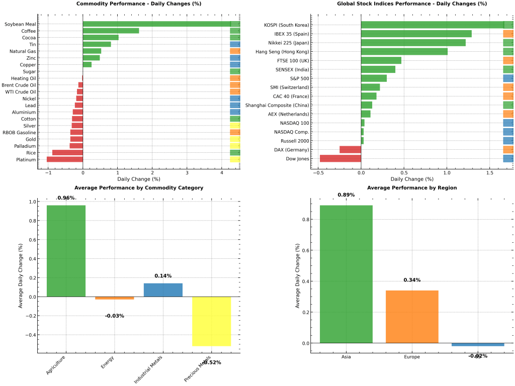
🛢️ Materias Primas – Últimos Precios y Movimientos Diarios
Energía
Materia Prima
Precio (USD)
Variación Diaria (%)
Brent
67,40
-0,13%
WTI
63,56
-0,17%
Gas Natural
3,05
+0,53%
Heating Oil
2,33
-0,02%
RBOB Gasoline
2,00
-0,36%
Metales Preciosos
Materia Prima
Precio (USD)
Variación Diaria (%)
Oro
3.627,76
-0,36%
Plata
41,04
-0,32%
Platino
1.375,50
-1,04%
Paladio
1.172,50
-0,38%
Metales Industriales
Materia Prima
Precio (USD)
Variación Diaria (%)
Cobre
9.847,00
+0,25%
Aluminio
2.622,40
-0,29%
Plomo
1.937,85
-0,23%
Níquel
14.935,00
-0,19%
Zinc
2.891,00
+0,49%
Estaño
34.551,00
+0,81%
Agricultura
Materia Prima
Precio (USD)
Variación Diaria (%)
Harina de Soja
293,00
+4,27%
Café
3,99
+1,62%
Cacao
5.100,00
+1,03%
Arroz
11,25
-0,88%
Azúcar
0,16
0,00%
Algodón
0,65
-0,31%
Destacado: La agricultura lidera las ganancias en materias primas, con la harina de soja (+4,27%) y el café (+1,62%) superando al resto. La energía y los metales están mixtos, con el oro y el platino bajo una ligera presión.
📊 Resumen del Rendimiento del Mercado
🏆 Principales Ganadores y Perdedores
Top 5 Ganadores
Variación Diaria (%)
Tipo
Harina de Soja
+4,27%
Materia Prima
KOSPI (Corea del Sur)
+1,67%
Índice
Café
+1,62%
Materia Prima
IBEX 35 (España)
+1,29%
Índice
Nikkei 225 (Japón)
+1,22%
Índice
Top 5 Perdedores
Variación Diaria (%)
Tipo
Platino
-1,04%
Materia Prima
Arroz
-0,88%
Materia Prima
Dow Jones (EE. UU.)
-0,48%
Índice
Paladio
-0,38%
Materia Prima
Gasolina RBOB
-0,36%
Materia Prima
📰 Factores y Noticias Clave del Mercado
Datos de Inflación de EE. UU. en Foco: Los mercados esperan la publicación del IPC de EE. UU., que se espera muestre un aumento interanual del 2,9%. Los datos del IPP de ayer, más suaves de lo esperado, dieron un modesto impulso a los activos de riesgo, pero todas las miradas están puestas en el IPC para confirmar la tendencia de la inflación.
Decisión de Tipos del BCE: Se espera ampliamente que el Banco Central Europeo mantenga los tipos estables en 2,00%. La orientación futura de la presidenta Lagarde será crucial para el euro y las acciones europeas.
Política del Banco Central: La probabilidad de un recorte de tipos de la Fed de EE. UU. en la reunión del FOMC de septiembre supera el 90%, pero el tamaño y el ritmo de los futuros recortes siguen dependiendo de los datos.
Destacados del Sector: Las acciones tecnológicas y de IA de EE. UU. continúan apoyando al S&P 500 y al Nasdaq, mientras que la energía y la agricultura superan al resto en materias primas.
Movimientos Regionales: Las bolsas asiáticas están fuertes, lideradas por Corea del Sur y Japón. Los índices europeos están mixtos, con el IBEX 35 de España superando al resto.
📈 Resumen de Rendimiento por Sector y Región
Categoría
Variación Media Diaria (%)
Agricultura
+0,96
Energía
-0,03
Metales Industriales
+0,14
Metales Preciosos
-0,52
Región
Variación Media Diaria (%)
Asia
+0,89
Europa
+0,34
EE. UU.
-0,02
🔎 Sentimiento y Perspectivas del Mercado
Volatilidad: Se espera que aumente a medida que los operadores asimilen los resultados del IPC de EE. UU. y del BCE.
Apetito por el riesgo: Apoyado por la fortaleza de las bolsas asiáticas y las ganancias de las materias primas, pero atenuado por la cautela ante las decisiones de los bancos centrales.
Próximos Catalizadores: IPC de EE. UU. (hoy), conferencia de prensa del BCE, Sentimiento del Consumidor de Michigan de EE. UU. (mañana) y datos del PIB del Reino Unido.
Resumen: Los mercados se encuentran en un compás de espera antes de las importantes decisiones de los bancos centrales. Las bolsas asiáticas y las materias primas agrícolas son los líderes del día, mientras que el euro y el dólar se mantienen estables. Se espera una mayor volatilidad a medida que surjan las señales de inflación y política.