📊 Market Pulse – Evening Briefing (August 26, 2025, no cryptocurrencies)

Key Summary:
Wall Street closed mixed after a session marked by caution ahead of key inflation data releases and mounting political pressure on the Federal Reserve. The US dollar strengthened against the euro and the pound, while major US indices fluctuated between slight gains and losses. Europe ended in the red, dragged down by political uncertainty and weakness in luxury and banking sectors.


🌍 Global Market Overview

RegionAsset/ClassIndex/PairClose / LatestDaily ChangeKey Driver/Status
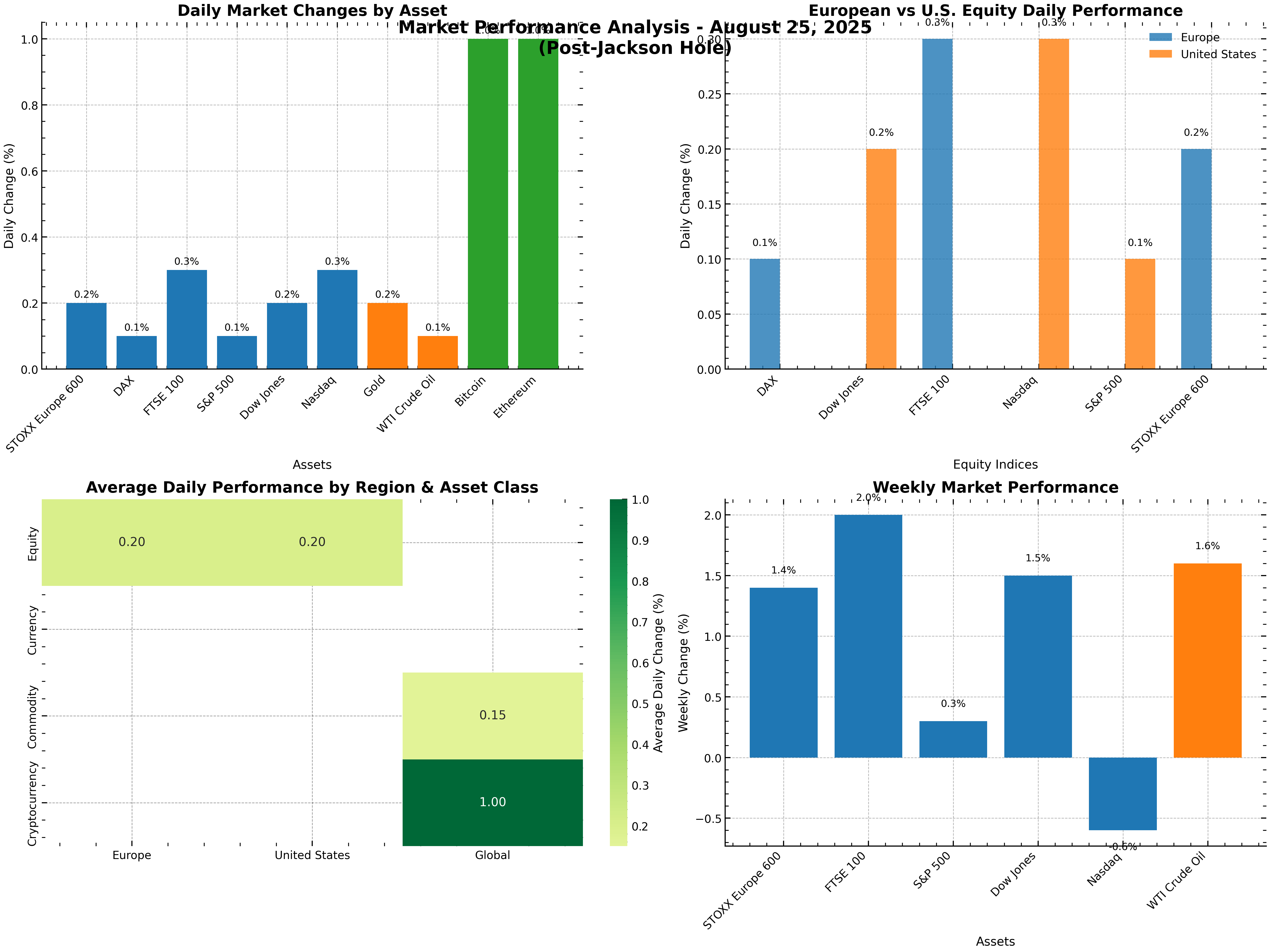
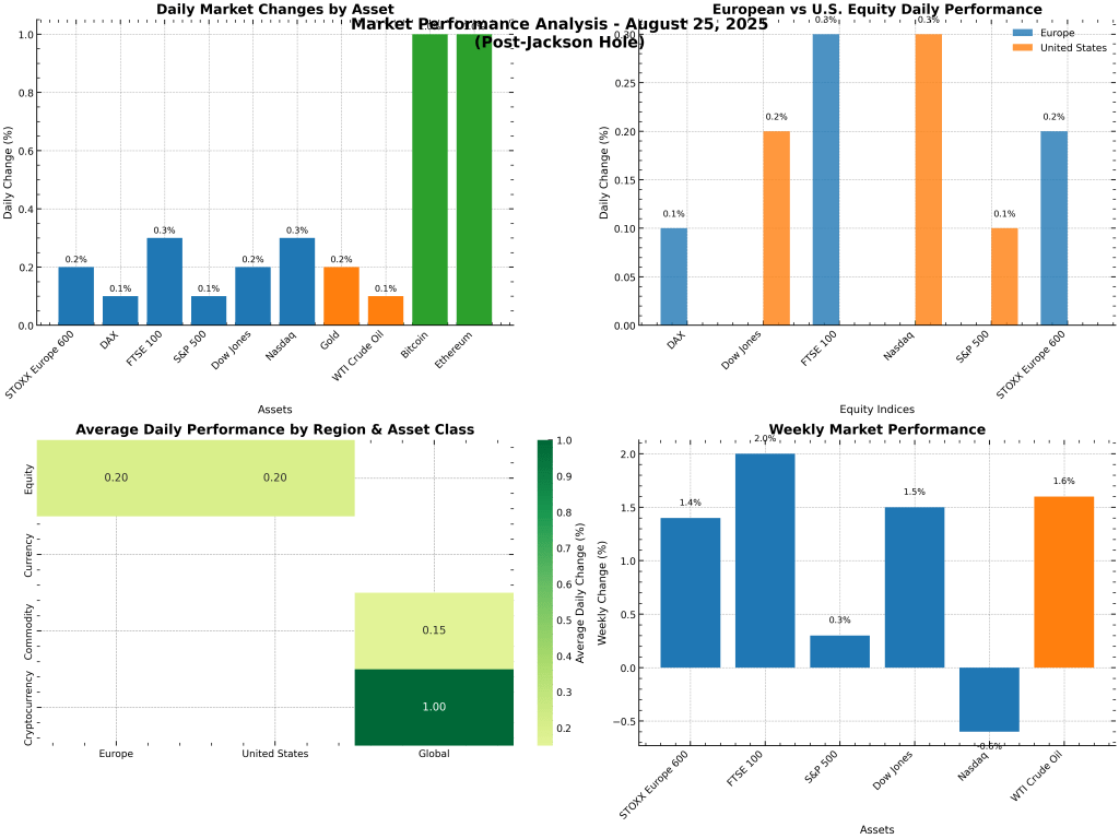
EuropeEquitiesSTOXX 600554.28-0.25%Political pressure, banking weakness
EuropeEquitiesDAX (Germany)18,234.50-0.10%Relative stability
EuropeEquitiesFTSE 100 (UK)9,265.80-0.60%Pullback in consumer and energy sectors
USAEquitiesS&P 5006,445.49+0.10%Technical rebound, Fed caution
USAEquitiesDow Jones45,282.47-0.77%Profit-taking, political volatility
USAEquitiesNasdaq Comp.21,443.63-0.03%Tech volatility, Nvidia anticipation
GlobalFXEUR/USD1.1645-0.89%Strong dollar, euro weakens
GlobalFXGBP/USD1.3482-0.43%Pound pressured by mixed data
GlobalFXUSD/JPY147.32+0.02%Yen stable, firm dollar

📊 Key Economic Indicators

IndicatorLatest AvailableContext/Driver
Durable Goods Orders (July)-2.8%Larger drop than expected
Consumer Confidence (August)97.4Decline, less optimism
Dallas Fed Manufacturing (Aug)-1.8Regional contraction
US PMI (August)55.4Manufacturing expansion
US Inflation (July, est.)2.8%Tariffs pressuring prices
US Unemployment Rate (June)4.1%Resilient labor market
US GDP (Q2, preliminary)3.0%Rebound after weak Q1
Fed Rate Cut Probability (Sept)89%Powell hints at imminent cut

📈 Market Visual Summary


🏆 Key Market Levels

AssetLevelStatus/Driver
S&P 5006,445.49Technical rebound, Fed caution
Dow Jones45,282.47Profit-taking
Nasdaq Comp.21,443.63Tech volatility
STOXX 600554.28Political pressure
FTSE 1009,265.80Consumer/energy pullback
EUR/USD1.1645Strong dollar
GBP/USD1.3482Pound pressured
USD/JPY147.32Stable yen

🔥 What’s Moving the Markets?

  • Federal Reserve under pressure: Powell reiterated the possibility of a rate cut in September, but political pressure from the White House is raising uncertainty about central bank independence and future volatility.
  • Mixed US data: Durable goods orders and consumer confidence fell, but the manufacturing PMI remains in expansion. The market is awaiting inflation and GDP data on Thursday.
  • Europe closes lower: Concerns over French banks and weakness in consumer and luxury sectors dragged down major indices. The euro and pound lost ground to the strong dollar.
  • Sector highlights: In the US, energy, real estate, and financials led; tech and discretionary lagged. In Europe, industrials and healthcare held up, while luxury and banking fell.

Summary:
Wall Street closed with limited moves and Europe in the red, in a cautious environment shaped by monetary policy and political pressure on the Fed. The dollar strengthened, and investors are now focused on key inflation and GDP data to set the trend for the end of the month.


Deja un comentario