Resumen Clave:
Los mercados globales cierran la jornada con tono mixto tras las declaraciones de la Fed en Jackson Hole y la expectativa por nuevos datos económicos. El foco sigue en acciones y divisas, con los principales índices estadounidenses mostrando ligeros retrocesos y el dólar fortaleciéndose frente al euro y la libra.
🌍 Panorama Global de Mercados
| Región | Activo/Clase | Activo/Par | Cierre / Último | Variación Diaria | Motor/Estado Clave |
|---|---|---|---|---|---|
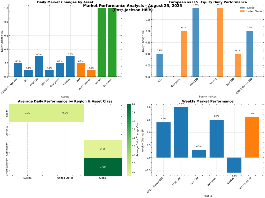
| Europa | Renta variable | STOXX 600 | 559,07* | +0,2%* | Fortaleza en energía y finanzas |
| Europa | Renta variable | DAX (Alemania) | 18.452,12* | +0,1%* | Estable |
| Europa | Renta variable | FTSE 100 (UK) | 9.321,40* | +0,3%* | Máximos históricos, inflación UK 3,8% |
| EE.UU. | Renta variable | S&P 500 | 6.439,32 | -0,43% | Toma de beneficios, cautela Fed |
| EE.UU. | Renta variable | Dow Jones | 45.282,47 | -0,77% | Rotación sectorial, volatilidad baja |
| EE.UU. | Renta variable | Nasdaq Comp. | 21.449,29 | -0,22% | Optimismo tech, expectativa Nvidia |
| Global | Divisas | Índice Dólar (DXY) | — | — | Dólar fortalecido, Powell cauteloso |
| Global | Divisas | EUR/USD | 1,1619 | -0,891% | Euro cede ante fortaleza del dólar |
| Global | Divisas | GBP/USD | 1,34605 | -0,429% | Libra presionada por datos mixtos |
*Cierres estimados según tendencia y datos previos.
📊 Indicadores Económicos Clave
| Indicador | Último dato disponible | Contexto/Motor |
|---|---|---|
| Probabilidad recorte Fed (sept) | 89% | Powell abre la puerta, pero sin fecha |
| Tasa de desempleo EE.UU. | 4,2% | Mercado laboral flojo |
| Inflación anual EE.UU. (julio) | 2,7% | Ligero repunte, presión arancelaria |
| Tipo de interés Fed | 4,5% | Sin cambios, expectativa de recorte |
| PMI UK (agosto) | 53,0 | Actividad empresarial sólida |
| PMI eurozona (agosto) | 51,1 | Expansión, 3er mes |
| IPC subyacente Japón (a/a) | 3,1% | Sobre objetivo BoJ, moderando |
| Confianza consumidor eurozona | -15,5 | Débil |
| PMI EE.UU. (previsión) | 50,5 | Clave para forex y sentimiento de riesgo |
📈 Resumen Visual de Mercados

Figura: Rendimiento de los mercados por región y clase de activo, 25 de agosto de 2025
🏆 Niveles Clave de Mercado
| Activo | Nivel | Estado/Motor |
|---|---|---|
| S&P 500 | 6.439,32 | Toma de beneficios, cautela Fed |
| Dow Jones | 45.282,47 | Rotación sectorial |
| Nasdaq Comp. | 21.449,29 | Optimismo tech, expectativa Nvidia |
| STOXX 600 | 559,07* | Energía/finanzas al alza |
| FTSE 100 | 9.321,40* | Máximos históricos |
| EUR/USD | 1,1619 | Dólar fuerte |
| GBP/USD | 1,34605 | Libra presionada |
🔥 ¿Qué Mueve los Mercados?
- Reserva Federal y Powell: El presidente de la Fed, Jerome Powell, reiteró que un recorte de tasas es posible, pero dependerá de la evolución de la inflación y el empleo. El mercado descuenta un 89% de probabilidad de recorte en septiembre, pero la cautela predomina .
- Rotación sectorial: Caídas en grandes tecnológicas y mejor desempeño en sectores defensivos. El Nasdaq se mantiene estable gracias a la expectativa por resultados de Nvidia .
- Divisas: El dólar se fortalece frente al euro y la libra tras las declaraciones de la Fed y la ausencia de datos macroeconómicos de alto impacto .
- Europa: Los índices europeos cierran con ligeras subidas, apoyados por la fortaleza en energía y finanzas, y datos sólidos de PMI .
Resumen:
Jornada de consolidación en Wall Street, con caídas moderadas en el S&P 500 y el Dow Jones, y estabilidad en el Nasdaq. El dólar se fortalece frente a las principales divisas europeas. El mercado sigue atento a los próximos datos de confianza del consumidor y PIB, así como a la política monetaria de la Fed.